Skip to content Skip to left sidebar Skip to footer

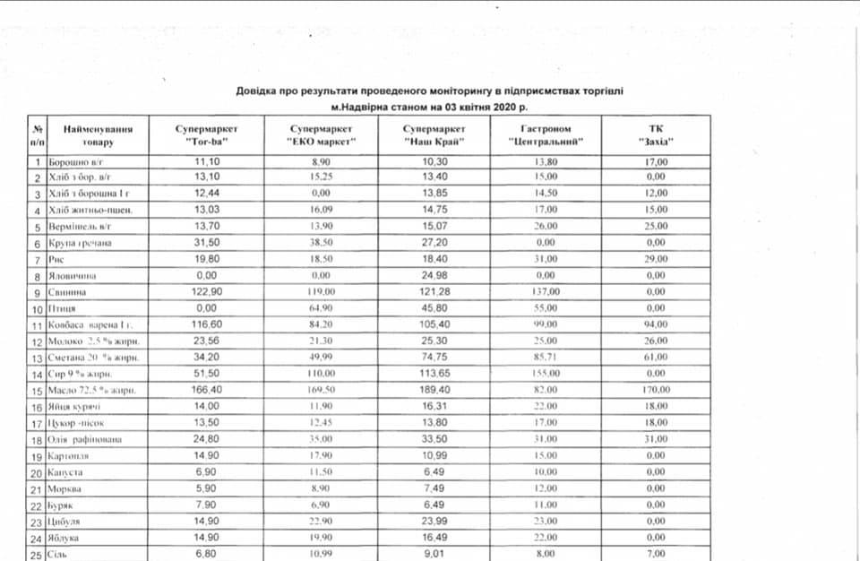
Ціни на продукти харчування в торгових точках м. Надвірна

Додатки

0 Comments

There are no comments yet

Leave a comment

Your email address will not be published. Required fields are marked *